Bogdan Corobean, Vojtech Horny, Alexander Pukhov, Emmanuel d'Humieres, Domenico Doria, Calin Alexandru Ur, Paolo Tomassini [ https://pubs.aip.org/aip/mre/article/10/5/057204/3359995/Laser-plasma-acceleration-of-quasi-monoenergetic ]
We introduce a scheme aiming at the generation of quasi-monochromatic carbon ion bunches from laser-solid interaction. The proposed scheme is an extension of the "peeler" acceleration originally developed for proton acceleration [1], which involves irradiating the narrow (sub-micrometer) side of a tape target. This results in the generation of a surface plasma wave and the subsequent acceleration of a proton bunch with high peak energy, quasi-monochromaticity, low energy bandwidth, and low divergence by the electrostatic field induced at the target rear. Up to now, the higher-Z (e.g., carbon) ion bunches obtained with the peeler scheme have been found to exhibit an exponentially decaying thermal-like energy spectrum. To achieve a low energy bandwidth, we place a mass-limited carbon structure at the rear of the target. Using 3D PIC, we show that a quasi-monochromatic carbon bunch can indeed be obtained with PW-class ultrashort pulses. The quasi-monochromaticity, together with the low duration of the Carbon beam, makes this scheme attractive for practical applications such as heavy ion cancer therapy and higher-resolution diagnostics of extreme plasma states.

Fig. 1: Peeler with mass-limited carbon source geometry

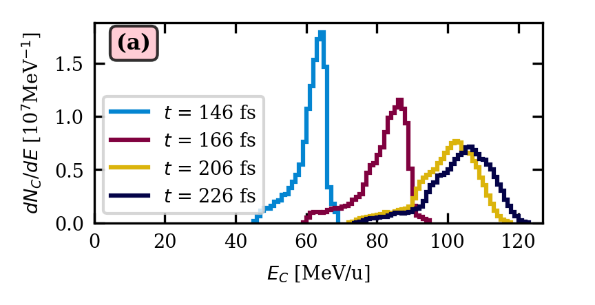
Fig. 2: Carbon energy spectra evolution
