T. Wang, X. Ribeyre, Z. Gong, O. Jansen, E. d'Humieres, D. Stutman, T. Toncian, and A. Arefiev
The emission of collimated γ-ray beams from structured laser-irradiated targets with a prefilled cylindrical channel and its scaling with laser power (in the multi-PW range) is examined using three-dimensional kinetic simulations. The laser power is increased by increasing the laser energy and the size of the focal spot while keeping the peak intensity fixed at 5×1022 W/cm2. The channel radius is increased proportionally to accommodate the change in laser spot size. The efficiency of conversion of the laser energy into a beam of MeV-level γ rays (with a 100 opening angle) increases rapidly with the incident laser power P before it roughly saturates above P ≈ 4 PW. Detailed particle tracking reveals that the power scaling is a result of enhanced electron acceleration at higher laser powers. One application that directly benefits from such a strong scaling is pair production via two-photon collisions. Two schemes for generating pairs through the linear Breit-Wheeler process are investigated: colliding two γ-ray beams and colliding one γ-ray beam with black-body radiation. The two scenarios project up to 104 and 105 pairs, respectively, for the γ-ray beams generated at P = 4 PW. A comparison with a regime of laser-irradiated hollow channels corroborates the robustness of the setup with prefilled channels.
This research was supported by the National Science Foundation and by the Air Force Office of Scientific Research in the US. D. Stutman was also supported by a grant of the Romanian Ministry of Education, CNCS-UEFISCDI.

(a) Schematic setup for generation of a directed γ-ray beam from a laser-irradiated structured target

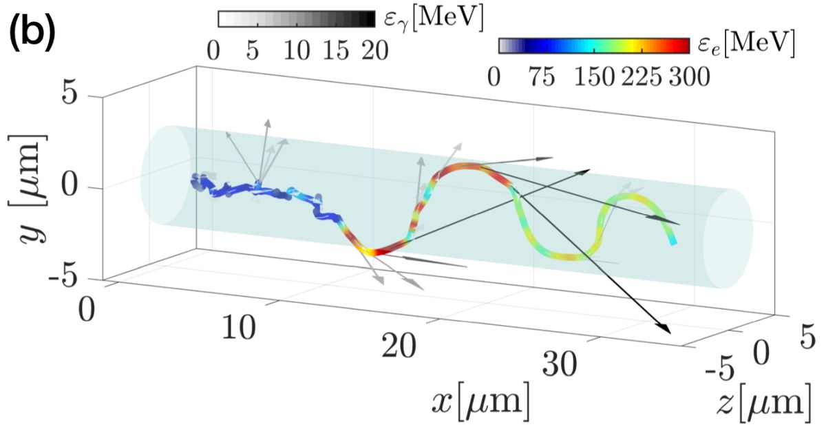
(b) Representative electron trajectory, with the grayscale arrows showing the direction and energy of photon emission
